河南大学科技创新团队
【团队负责人】 陈志凡
【所在学院(科研机构)】地理与环境学院
【涉及技术领域】土壤-地下水重金属污染低碳修复关键技术研发
【主要研究方向】
陈志凡,女,1979年生,博士,教授,博士生导师,河南省青年骨干教师,河南省土壤重金属污染控制与修复工程研究中心主任。主持国家自然科学基金、河南省科技攻关等多项课题研究。在Science of the Total Environment、Environmental Pollution、Chemosphere、《环境科学学报》等高水平期刊发表学术论文40余篇,授权专利4项,主编环境类教材2部。研究领域主要集中于环境污染生态修复与调控、环境污染风险评价与溯源研究、功能化生物炭材料及其在农田土壤-地下水系统重金属污染修复中的应用与综合效应评价等。
【创新成果1】
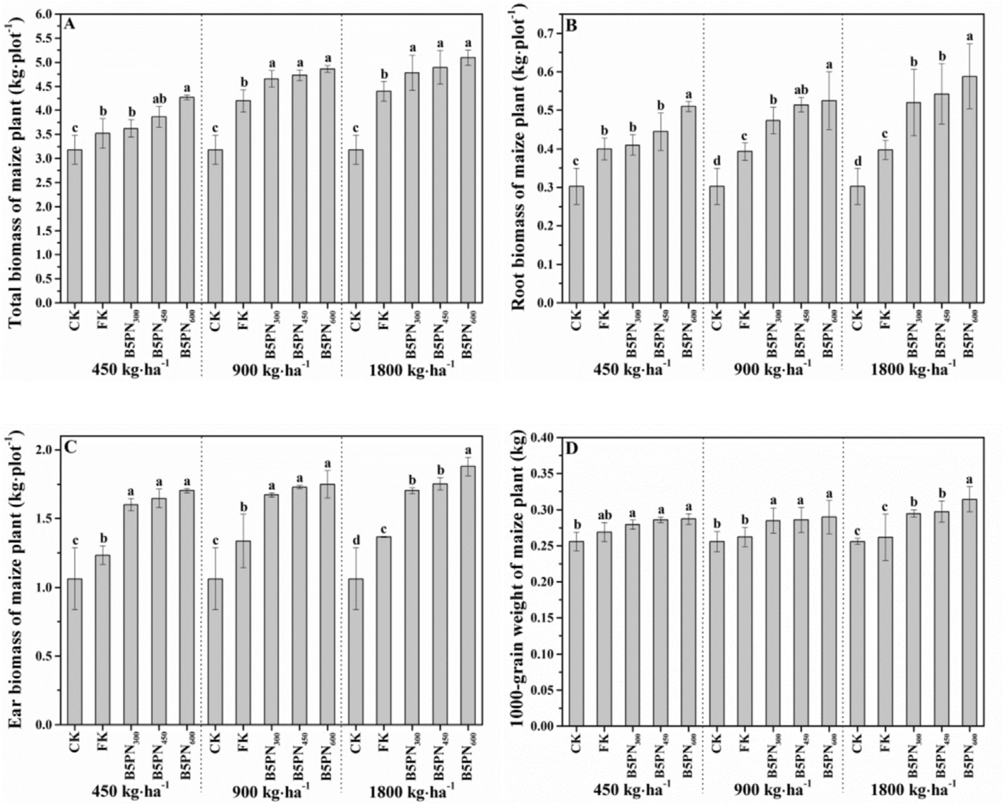
以玉米秸秆生物质、硅藻土、重过磷酸钙和尿素为原料,在不同热解温度(300℃、450℃、600℃)和混合比例(5:1:1:x和10:1:1:x)下合成了一种新型生物炭基复合肥(BCF)。开展了低施用量下BCF对土壤有效Cd的固定效率、以及对土壤肥力和玉米生长的影响研究。室内培养实验表明,低剂量的BCF(B5PNx和B10PNx)显著降低了土壤中Cd的有效性,有效态Cd的最高降低率高达44.13%。田间试验表明,低剂量(< 0.1%)的BCF(特别是B5PN600)能够改善土壤肥力并促进玉米生长(包括玉米产量)(图3),同时可显著降低玉米籽粒中的Cd含量。机理研究表明,提高热解温度可以提高生物炭对Cd2+的吸附能力;经尿素、硅藻土和重过磷酸钙改性后,随着官能团的增加、多孔结构的形成,以及表面共沉淀和络合作用,进一步提高了BCF对Cd2+的吸附能力;同时,增加了BCF的N、P、Si等营养物质含量,对土壤改良和玉米生长具有重要作用。本研究表明,在600℃下制备的生物炭基复合肥(BCF,混合比例为5:1:1:x)可以作为一种有前景的、环境友好的Cd污染土壤修复剂,并减少化学肥料的使用。该研究成果已在Environment Pollution上发表,并获批专利1项(专利证书附后)。目前,该专利已实施转化。

图1生物炭材料的表面结构特征

图2 在不同混合比例(A)、热解温度(B)、添加水平(C)和培养时间(D)下,生物炭材料对实验室土壤中DTPA-Cd的钝化效率

图3 不同处理下玉米植株总生物量(A)、玉米根系生物量(B)、穗部生物量(C)和1000粒重(D)

【创新成果2】
利用硝酸、高锰酸钾、氢氧化钾及乙醇制备δ-MnO2改性活性炭,并用于砷的同步氧化和去除研究。研究显示,改性过程降低了活性炭的比表面积,δ-MnO2的存在一定程度上堵塞了活性炭的空隙结构,其比较面积从28.5 m2/g降低至7.5 m2/g,平均孔径也从1.55 nm降低至0.976 nm。扫描电镜发现,改性前活性炭表面比较粗糙,存在一些明显的孔隙。而δ-MnO2改性后,活性炭表面出现了大量的聚集的块状δ-MnO2,活性炭表面变得相对平滑。在~37.6°与~66.3°较弱且宽两组特征吸收峰也证明了δ-MnO2成功负载到活性炭上。δ-MnO2负载的活性炭的零电点(pH)大约是1.40。As(V)和As(III)在δ-MnO2改性活性炭上的最大Langmuir吸附量是13.30和12.56 mg/g;As(V)和As(III)在δ-MnO2改性活性炭上吸附随着pH值的增大而减少(图6)。本研究表明,δ-MnO2改性活性炭在含砷废水或含砷地下水中砷的去除方面具有潜在的应用前景。该研究成果发表在J. Environ. Sci.上,并申请获批专利1项。

图4 δ-MnO2改性前后活性炭表面形貌变化

图5 δ-MnO2改性前后活性炭的p-XRD图谱


图6 δ-MnO2改性的活性炭对As(V)和As(III)的吸附等温线(上图);及pH对其吸附行为的影响(下图)。

【合作形式】技术开发、技术转让、作价入股
【联系人】张超 【联系电话】15737955421
Copyright 2023 开封科学院 All Rights Reserved. 豫ICP备2023028327号